布の切れ端
布の切れ端
読者になる

布の切れ端

2020-01-01から1年間の記事一覧

2020-06-10

Interactive Sorting (Language Test 202001 L)

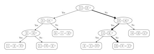
問題 L - Interactive Sorting 解法 のケースではマージソートを行なえばいいです.以下では のケースを扱います. 前提知識 ソートアルゴリズムは木で表現できます.例えば,相異なる3つの要素に対するマージソート*1は次のように表せます.マージソートの…

はてなブックマーク - Interactive Sorting (Language Test 202001 L)
プロフィール
id:TOTTORIPAPER id:TOTTORIPAPER
読者です 読者をやめる 読者になる 読者になる
このブログについて
検索
リンク
  • はてなブログ
  • ブログをはじめる
  • 週刊はてなブログ
  • はてなブログPro
最新記事
  • Interactive Sorting (Language Test 202001 L)
  • Card Game II (AOJ 0504)
  • Educational Codeforces Round #55 F - Speed Dial
  • 虚空と光明のディスクール(HARD MODE) - jin_matakich 強化コンテスト(extended) F
  • YukiCoder No.162 - 8020運動
月別アーカイブ
  • ▼ ▶
    2020
    • 2020 / 6
  • ▼ ▶
    2019
    • 2019 / 5
  • ▼ ▶
    2018
    • 2018 / 12
  • ▼ ▶
    2015
    • 2015 / 4
    • 2015 / 3
  • ▼ ▶
    2014
    • 2014 / 12
    • 2014 / 11
  • ▼ ▶
    2013
    • 2013 / 6
    • 2013 / 5
    • 2013 / 4
    • 2013 / 3
    • 2013 / 2
    • 2013 / 1
  • ▼ ▶
    2012
    • 2012 / 12
    • 2012 / 11
    • 2012 / 10
    • 2012 / 8
    • 2012 / 7
    • 2012 / 6
    • 2012 / 5
    • 2012 / 4
    • 2012 / 3
    • 2012 / 2
    • 2012 / 1
  • ▼ ▶
    2011
    • 2011 / 12
    • 2011 / 11
    • 2011 / 10
    • 2011 / 9
布の切れ端 布の切れ端

Powered by Hatena Blog | ブログを報告する

引用をストックしました

引用するにはまずログインしてください

引用をストックできませんでした。再度お試しください

限定公開記事のため引用できません。

読者です 読者をやめる 読者になる 読者になる